Chapter 9
Modeling Material Failure
9.6 Linear Elastic Fracture mechanics of interfaces
Many engineering applications require one
material to be bonded to another.
Examples include adhesive joints; protective coatings; composite
materials; and thin films used in the manufacture of microelectronic
circuits. In all these applications,
techniques are required to predict the strength of the bond.
To this end, a great deal of work has been
done over the past 20 years to extend linear elastic fracture mechanics to
predict the behavior of cracks on, or near, the interface between two
dissimilar brittle materials.
9.6.1 Crack Tip Fields for a crack on an
interface
The foundation for linear elastic interfacial
fracture mechanics is based on an asymptotic analysis of the stress and strain
fields near the tip of a crack.
The problem of interest is illustrated in the
figure. A semi-infinite crack with a
straight front that coincides with the axis lies on the interface between two linear
elastic solids. The material above the crack has shear modulus and Poisson’s
ratio ;
the material below the crack has shear modulus and Poisson’s ratio . In this section we give the complex variable
solution that governs the variation of stress and displacement near the crack
tip. The solid is subjected to static remote
loading, and is assumed to deform in plane strain.
The complete stress and displacement fields
for an interface crack are given in Section 5.3.6. The solution is too long to type out here: Instead, we summarize the key features.
Material parameters for an interface: The solution is expressed in terms of several
additional parameters
1. Plane strain moduli ,
2. Bimaterial modulus
3. Dundur’s elastic constants
Evidently is a measure of the relative stiffness of the
two materials. It must lie in the range for all possible material combinations: indicates that material 1 is rigid, while signifies that material 2 is rigid. The second parameter does not have such a
nice physical interpretation it is a rough measure of the relative
compressibilities of the two materials.
For Poisson’s ratios in the range ,
one can show that that .
4. Crack tip singularity parameter
For most material combinations the value of is very small typically of order 0.01 or so.
Crack tip loading parameters The state of stress at the
crack tip is characterized by three numbers: an arbitrary characteristic length
L (a value of is often used); the phase angle of the loading
and the magnitude of the stress intensity
factor . Often, the energy release rate for the crack G is used in place of .
These are defined as follows
Phase
angle
Stress
intensity magnitude
Energy
release rate
Solutions
to interface crack problems are also often expressed in terms of two
stress-intensity factor like parameters and . These are related to the crack tip parameters
by
Interpreting the crack tip fields
The
values of and are is determined by the solid’s shape and how
it is loaded (the value of also depends on the choice of the
characteristic length L). Once and are known, however, the near tip fields always
have the form given by the asymptotic solution.
Since quantifies the ratio of shear to opening
stress ahead of the crack tip, it is qualitatively equivalent to the ratio ,
where and are the mode 1 and mode 2 stress intensity
factors for a crack in a homogeneous solid.
The opening and shear stresses along ahead of the crack tip can be calculated from
The
crack opening displacements behind the crack tip can be calculated from
The
complex exponent appearing in these expressions is scary to understand what it means note that
so this term indicates that
the stresses oscillate near the crack tip. We will discuss this in more detail below.
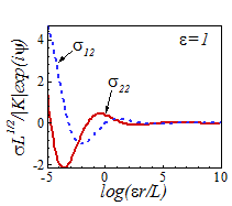
Oscillations in the stress
and displacement fields
The asymptotic crack tip field for an interface crack is strikingly
different to the corresponding solution for a homogeneous solid. In fact, the results are somewhat disturbing,
and have been the cause of much anguish in the fracture mechanics community.
We have already noted that the stress fields are oscillatory near the
crack tip. The stress distributions are
plotted on the right as a function of . Note that the results are shown for an
unphysically large value of - for practical values the oscillations are so
slow it is hard to see them.
Both normal and shear stresses oscillate with increasing frequency as
the crack tip is approached. As a
result, it is difficult to unambiguously separate the loading into normal and
shear components an opening stress induces just as much shear
near the crack tip as does shear loading, and vice-versa.
Even more disturbingly, the crack opening displacements show the same
oscillatory character. This means that the solution predicts that the crack
faces overlap near the crack tip, which is clearly unphysical.
It is possible to find a solution that corrects for the overlapping
crack faces (Comninou, J. Appl Mech. 44, 631 1977). This solution predicts that the crack faces
touch just behind the crack tip for all combinations of remote load. There is a square root singularity in shear
stress at the crack tip (so it’s strictly always loaded in mode II). The zone of contact is extremely small,
however typically of the order of a few nanometers for
most practical crack sizes and materials, and probably much smaller than the
process zone.
The standard procedure in LEIFM (linear elastic interfacial fracture
mechanics) is to ignore the overlap between crack faces, and accept the
asymptotic field described in the beginning of this sub-section as
characterizing the stress and strain fields for an interface crack. The oscillatory singularity is, after all, no
less physical than a square root singularity.
The asymptotic field is expected to represent actual stress and strain
fields in an annular region, which is small compared with specimen geometry,
and large compared with the process zone.
9.6.2 Phenomenological theory of interface fracture
Phenomenological
fracture mechanics for interfaces is based on the same reasoning that is used
in fracture mechanics of homogeneous solids.
We anticipate three distinct regions in a plastically deforming specimen
containing a crack,
1. A process zone near the crack tip, with finite
deformations and extensive material damge, where the asymptotic field is not
accurate;
2. A K dominant zone, outside the process zone, but small
compared with specimen dimensions, where the asymptotic linear elastic field
accurately describes the deformation;
3. The remainder, where stress and strain fields are
controlled by specimen geometry and loading.
Material failure (crack growth or fatigue) is
a consequence of the failure mechanisms in the process zone. As usual, we do not attempt to model the
failure process in detail, and instead assume that the fields in the process
zone are controlled by the fields in the region of K dominance. In interface fracture, we use the stress
state at the reference length L ahead
of the crack tip to characterize the loading experienced by the process
zone. As we have seen, this stress is
characterized by the energy release rate G
(or alternatively the stress intensity magnitude ), together with the phase angle .
Fracture Criterion The critical condition for an interface crack
to propagate is therefore given by a fracture criterion of the form
where is the fracture toughness of the interface and
is the phase angle, defined using some
appropriate choice of length L. The fracture toughness is a function of
phase angle, just as the fracture toughness of a homogeneous solid subjected to
mixed mode loading is a function of .
|

|
The fracture resistance of the interface must be measured experimentally. Several specimens are available for this
purpose. Examples include sandwich
specimens (e.g. Leichti & Knauss, Exp. Mech. 22 383 1982; see
also Suo & Hutchinson Mat. Sci & Eng A107 1989 135) and 4
point bend specimens (e.g. Charalambides et al Mechanics of Materials 8
269, 1990). Experiments show that increases rapidly with phase angle: the
typical variation of fracture toughness with phase angle is sketched in the
figure. In fact, many experimental data seem to be fit by .
To apply LEIFM, then, it is necessary (i) to measure the fracture
resistance of the interface as a function of phase angle; (ii) calculate energy
release rate and phase angle for the interface crack in the structure or
component of interest, and (iii) apply the fracture criterion to assess the
load bearing capacity of the component.
9.6.3 Stress intensity factors for some
interface cracks
The solutions to interface crack problems are
most conveniently expressed in terms of the stress intensity factors ,
because these are linear in stress and can therefore be superposed. Stress intensity factors have been computed
for many standard specimen geometries (usually using a numerical
technique). A few examples are shown
below.
|
STRESS
INTENSITY FACTORS FOR INTERFACE CRACKS
|
|

|

|
|

|
|
The point force solutions can be used to
calculate stress intensity factors for interface cracks that are subjected to
nonuniform stress fields, following the procedure given in Section 9.3.3. The energy release rate and phase angle can
be calculated using the formulas given in the preceding section. For example, for the slit crack with length 2a subjected to uniform stress far from
the crack, the energy release rate and phase angle are
Note that, for a fixed value of L, the phase angle depends on
the size of the crack. This is a
general feature of interface cracks: the mode mixity depends on specimen
size. However, the value of for most material pairs is very small, so the
variation with specimen size is very weak.
9.6.4 Crack
Path Selection
A final issue that is of great interest in interfacial fracture is the
question of crack path selection. An
interface crack can either propagate along the interface, or deflect into one
of the two materials adjacent to the interface.
In addition, a crack approaching transverse to an interface may be
deflected along it this is a mechanism for trapping cracks in
composite materials.


A rather involved stress analysis is required to answer these
questions, but the results are simple. A crack approaching perpendicular to an
interface (as shown on the left above) will deflect along the interface as long
as
where is the interface toughness for a phase angle
of 90 degrees, and is the fracture toughness of the material on
the far side of the interface. If this
condition is satisfied, the crack remains trapped in the interface and will not
kink out of it.